Checking Wiring And Terminals. Permanent Faults

Need a step-by-step guide?

Get an AI-powered repair guide with parts lists, cost estimates, and clear instructions for your 2013 Volvo.

AI Repair Guides





Checking wiring and terminals

Contents
Select appropriate fault-tracing on wiring and connectors.
- Inspect terminals visually
- Open-circuit
- Short-circuit to ground
- Short-circuit to supply voltage
- Loose connections (terminals)
- Contact resistance and oxidation
- Intermittent fault-tracing Checking Wiring And Terminals. Intermittent Faults

Inspect terminals visually





Note! When checking the engine control module (ECM), do not remove the control module from the car before the main relay has interrupted the power supply. This may take up to 4 minutes after the ignition has been switched off and the engine cooling fan (FC) has stopped running.

Inspect the terminals visually when checking, or taking readings from, opened connectors.
For repair of wiring and terminals, Diagnostic Aids.

Checks:
- Check for oxidation. This can cause poor connections in the terminals
- Check for damage to pins and terminals. Check that they are properly inserted into the connector. Check that the cable is properly connected to the pin or terminal. Check pins and terminals particularly carefully
- Using a loose male connector, test to see if the female connector provides a good contact and that the pin remains in place when the male connector is pulled lightly
- Shake the cable lightly and pull on connectors during measurement to locate damage.

Open-circuit





Caution! Avoid touching control module connector pins and corresponding cable harness connectors. There is a risk of electrostatic discharge, which could damage the control module. Relieve any charge on yourself and the tools to be used by holding the metal part of the tool and touching part of the body just before starting work.

An open-circuit in a cable will be indicated by the loss of a function (or functions).
Chafed and broken leads are common causes of faults.
For repair of wiring and terminals, Diagnostic Aids.

Checks:
- Disconnect the connectors at both ends of the cable.
Check the cables visually according to Inspect terminals visually.
Connect an ohmmeter between the ends of the cable.
The ohmmeter should read approximately 0ohms if there is no open-circuit in the cable.

Note! When taking readings from the female connector it is important to position a replacement part between the female connector and the measuring instrument. The replacement part consists of a piece of cable with a cable terminal at one end. Never insert an object into the female connector. There is a risk of damaging the female connector.

Shake the cable lightly and pull on connectors during measurement to locate the damage.
If the reading is not correct. Replace the cable and / or continue according to Contact resistance and oxidation.




Always check the control module and control module box connectors to ensure that their pins and sockets are not bent or damaged, this may cause faults.
Check pins and terminals particularly carefully.

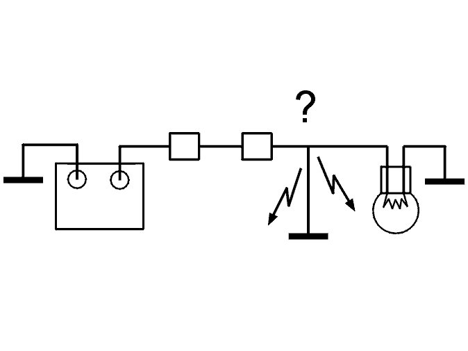
Short-circuit to ground





Caution! Avoid touching control module connector pins and corresponding cable harness connectors. There is a risk of electrostatic discharge, which could damage the control module. Relieve any charge on yourself and the tools to be used by holding the metal part of the tool and touching part of the body just before starting work.

A short-circuit between a live cable and ground is often indicated by the loss of a function or a fuse blowing when a current is passed through the cable.
For repair of wiring and terminals, Diagnostic Aids.

Checks:
- Check the cables visually according to Inspect terminals visually.
Activate all switches and sensors in the circuit. Check whether the fuse blows
- Disconnect the connectors in the circuit to ensure that they do not affect readings.
Connect an ohmmeter between cable and ground.
The ohmmeter should read infinite resistance if no components are connected.

Note! When taking readings from the female connector it is important to position a replacement part between the female connector and the measuring instrument. The replacement part consists of a piece of cable with a cable terminal at one end. Never insert an object into the female connector. There is a risk of damaging the female connector.

Shake the cable lightly and pull on connectors during measurement to locate the damage.
If the reading is not correct, replace the cable and / or continue according to Contact resistance and oxidation.

Short-circuit to supply voltage





Caution! Avoid touching control module connector pins and corresponding cable harness connectors. There is a risk of electrostatic discharge, which could damage the control module. Relieve any charge on yourself and the tools to be used by holding the metal part of the tool and touching part of the body just before starting work.

A short-circuit between a cable and supply voltage is often indicated by the loss of a function or a fuse blowing when a current is passed through the cable.
For repair of wiring and terminals, Diagnostic Aids.

Checks:
- Check the cables visually according to Inspect terminals visually.
Use a voltmeter to take readings at various points in the circuit while operating switches and sensors.
The voltmeter reading depends on the circuit being tested and the positions of switches and sensors. Use the wiring diagram to determine the correct voltage in the circuit.
Use an ohmmeter between the suspect cables to detect short-circuits between them.
The ohmmeter should read infinite resistance between cables not connected to each other in the circuit.

Note! When taking readings from the female connector it is important to position a replacement part between the female connector and the measuring instrument. The replacement part consists of a piece of cable with a cable terminal at one end. Never insert an object into the female connector. There is a risk of damaging the female connector.

Shake the cable lightly and pull on connectors during measurement to locate the damage.
If the reading is not correct. Replace the cable and / or continue according to Contact resistance and oxidation.

Loose connections (terminals)




For repair of wiring and terminals, Diagnostic Aids.
Loose connections in terminals may be caused by oxidation of the pins and sockets, or by a faulty connection of a cable to its cable terminal.
Loose connections produce the same faults as an intermittent open-circuit in a cable.

Checks:
- Inspect terminals visually according to Inspect terminals visually.
Continue according to Contact resistance and oxidation.

Contact resistance and oxidation





Caution! Avoid touching control module connector pins and corresponding cable harness connectors. There is a risk of electrostatic discharge, which could damage the control module. Relieve any charge on yourself and the tools to be used by holding the metal part of the tool and touching part of the body just before starting work.

The resistance in switches, cables and terminals should be 0 ohms. There is sometimes some resistance in connections due to oxidation.
If resistance is too great there will be function problems. The magnitude of the resistance before it causes a malfunction depends on the circuit load. A guideline would be a few ohms.

Note! When taking readings from the female connector it is important to position a replacement part between the female connector and the measuring instrument. The replacement part consists of a piece of cable with a cable terminal at one end. Never insert an object into the female connector. There is a risk of damaging the female connector.

Cleaning female socket terminals and male pin terminals





Note! Do not apply rust solvent spray or grease to the catalyst monitor sensor or instrument cluster connectors.

- Ignition off
- Disconnect the battery negative terminal
- Use compressed air to clean the disconnected connector
- Apply rust solvent spray 1161422 to the disconnected connectors
- Blow clean using compressed air.

Greasing female terminals





Note! Do not fill the protective cover with grease.

- Press grease, P/N 1161417-9, into the terminals directly from the tube
- Check that all the cavities in the connectors are filled
- Use a loose male pin to ensure that contact in sockets is good. The pin should remain in position when pulled gently.






Intermittent fault-tracing

General
The reason the car is in the workshop is because the customer has experienced abnormalities with the car. The symptoms experienced by the customer does not always coincide with a permanent fault. The fault might not occur when the customer arrives at the workshop but occurs on a single occasion.
In order to deduce the fault type is important to check the symptoms reported by the customer:
- How does the car behave? Is the car difficult to start, are the gears hard to shift, does the tachometer flicker etc.
- What are the circumstances when the fault occurs? under heavy load, is it dependent on the weather, outside temperature, on uneven roads, when making sharp turns, only when the engine is cold, under hard braking etc.
It is important to interview the customer about the surrounding circumstances in the event of a fault.
It may be an advantage to simulate the driving conditions for when the symptom occurs and carry out an analysis and deduce the fault. By deducing the fault, the symptom can be remedied so that the fault does not recur.
When a diagnostic trouble code (DTC) has been stored the freeze frames are also stored. These can be used to recreate the driving conditions for the diagnostic trouble code (DTC).
Tools:
- Reading off freeze frames, read off the freeze frame data for the relevant diagnostic trouble code (DTC)
- Status identifier, read off the status of the selected diagnostic trouble code (DTC)
- The counter indicates, amongst other things, how many fault free cycles have been carried out since the diagnostic trouble code (DTC) was stored.

Intermittent electrical fault
An intermittent electrical fault can be caused by faults in the wiring, components or connectors.
Possible fault causes for intermittent electrical faults are:
- Damaged terminal pins in the connector
- Loose connections in the connectors
- Poor ground connection (oxidation)
- Moisture, poor connections in the connector
- Defects, cracking, damage on the components
- Strong magnetic or other interference that has affected the control modules.

Intermittent functional faults
Intermittent functional faults could be caused by mechanical defects in the components.
- Cracked or blocked hoses
- Incorrect oils, fluids
- Incorrect fuel
- Sticking mechanical components.

Intermittent internal faults
Intermittent internal faults could be due to:
- Electromechanical interference
- Power supply too low
- Oxidized ground terminal for the control module
- Defective internal components.

Intermittent communication problems
Intermittent communication problems could be due to:
- Electromechanical interference
- Oxidation / loose connections in the connectors
- Defective signal cables.

Simulating fault causes
A large amount of input data is a required to recreate and simulate fault occurring circumstances.
Certain cases can be difficult to recreate. High speed driving and stalling to achieve high loads is not recommended.
In order to achieve high loads accelerate hard in quick succession a number of time instead.
Cases that are possible to simulate:
- high load
- moisture
- heat
- cold
- loose connections.

High load
High load can be simulated by accelerating hard repeatedly.

Moisture
Moisture can be simulated by spraying water on the suspected faulty component or connector using a spray bottle or hose.

Heat
Heat can be simulated by using a hot air gun or similar to heat up a suspected faulty component or connector.
In order to achieve a high engine temperature allow the engine to idle at a high load with the hood down to prevent air flowing through the engine compartment. Run the engine in hot conditions. Read off the engine coolant temperature (ECT) using VIDA, the temperature gauge in the combined instrument panel is progressive.

Cold
Cold can be simulated by cooling down the suspected faulty component or connector using a freeze spray.

Loose connections
Loose connections can be simulated by twisting and shaking the connector whilst the function is activated.