Specification For Planetary Gearbox

Need a step-by-step guide?

Get an AI-powered repair guide with parts lists, cost estimates, and clear instructions for your 1992 Volvo.

AI Repair Guides
Transmission By Model Year And Engine Type

Transmission By Model Year And Engine Type:





1) New turbocharger unit from 1990 on
2) USA, Canada, Japan, Australia





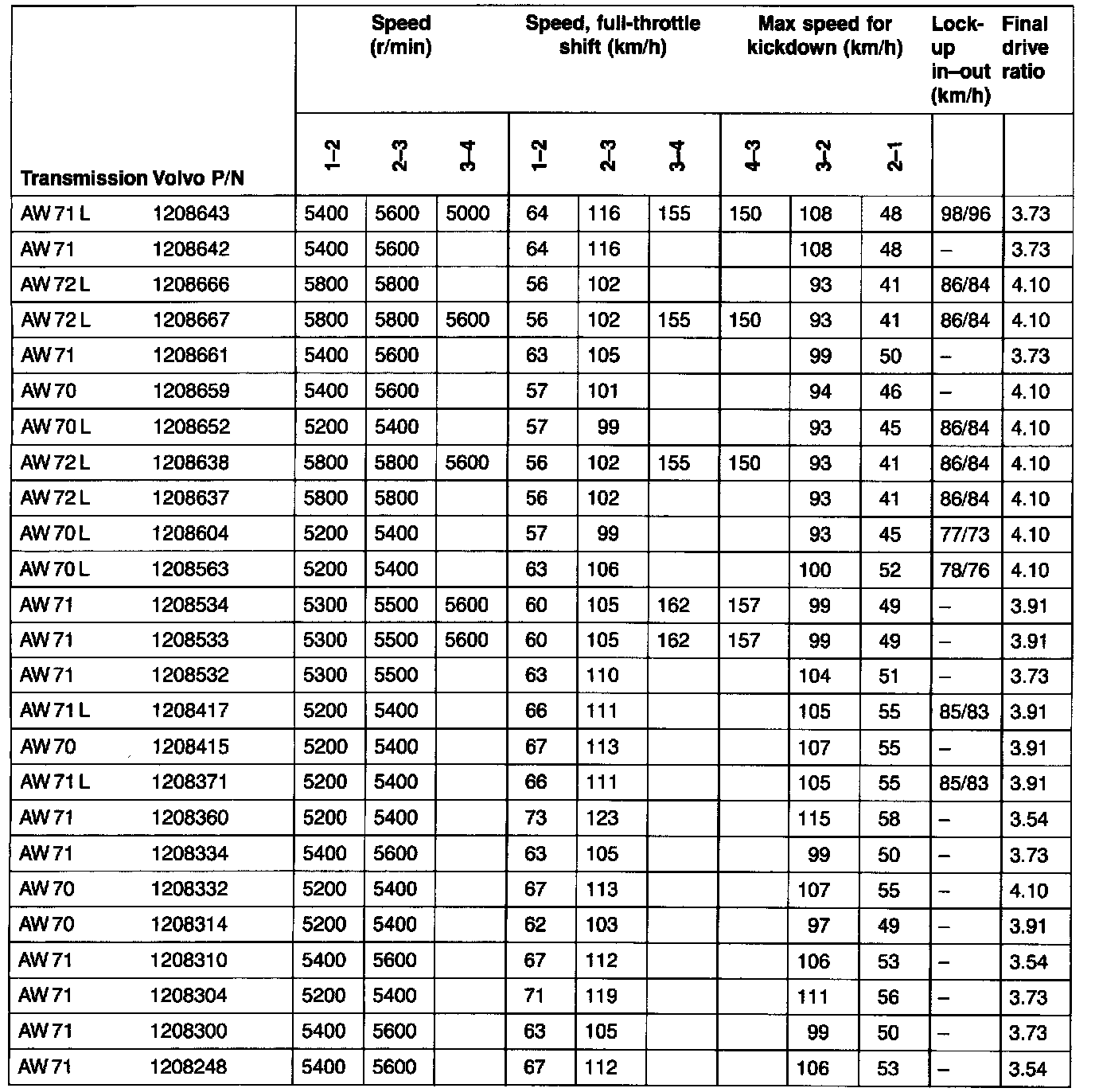
Shift Conditions At kickdown





Torque Converter, Stall Speed, Torque Converter Housing
* Torque converter with mounting lugs





Drive Flange, Solenoid Valve, Kickdown Inhibitor, Oil Pump





Kickdown Cable, Throttle Cam, Governor
1233359 to March 1982 incl.





Line Pressure In Gear Positions D And R
* Red primary regulator valve, spring 0.38 MPa
** White primary regulator valve, spring 0.47 MPa





Stall Speed Pressure In Gear Positions D And R





Governor Pressures
* Applies to AW72L.