Automatic and Manual Transmission Related

Need a step-by-step guide?

Get an AI-powered repair guide with parts lists, cost estimates, and clear instructions for your 2002 Subaru.

AI Repair Guides




Control Systems Specifications





AT Selector Lever





MT Gear Shift Lever

Automatic Transmission Specifications





Torque Converter Clutch





Oil Pump





Transmission Control Element





Transmission Gear Ratio





Planetary Gear and Plate





Selector Position





Hydraulic Control and Lubrication





Cooling and Harness





Final; Reduction





Transfer

Manual Transmission and Differential Specifications





Manual Transmission and Differential





Transmission Gear Oil

Transmission Case Assembly
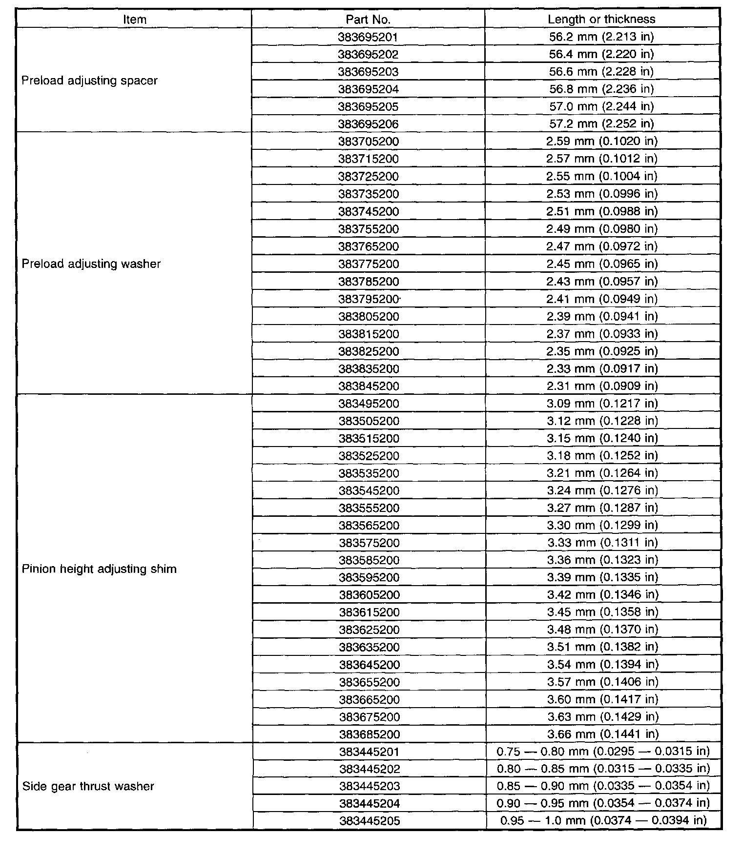
Drive Pinion shim adjustment
Hypoid gear backlash
0.13 - 0.18 mm (0.0051 - 0.0071 in)






Drive Pinion Shim
Selection of main shaft rear plate





Main Shaft Rear Plate

Drive Pinion Assembly
Preload adjustment of thrust bearing
Starting Torque
0.3 - 0.8 Nm (0.03 - 0.08 Kgf-m, 0.2 - 0.6 ft=lb)






Adjusting Washer Number 1





Adjusting Washer Number 2

Reverse Idler Gear
Adjustment of reverse idler gear position
Reverse idler gear top transmission case (LH) wall clearance
6.0 - 7.5 mm (0.236 - 0.295 in)





Reverse Shifter Lever





After installing a suitable reverse shifter lever, adjust reverse idler gear to transmission case wall clearance to within 0 to 0.5 mm (0 to 0.020 in) using washers.





Washer (20.5 X 26 X t)

Shifter Fork and Rod
Select suitable shifter forks so that both coupling sleeve and Reverse driven gear are positioned in the center of their synchromesh mechanisms.
Rod end clearance
A 1st-2nd - 3rd-4th
0.4 - 1.4 mm (0.016 - 0.055 in)
A 3rd-4th - 5th
0.5 - 1.3 mm (0.020 - 0.051 in)





1st-2nd shifter fork





3rd-4th shifter fork





5th shifter fork

Transfer Case
Neutral position adjustment





Adjustment shim





Reverse accent shaft
Reverse check plate adjustment





Reverse Check plate

Extension Assembly
Thrust washer (50 X 61 X t) to taper roller bearing table outer race side clearance
0.2 - 0.3 mm T (0.0008 - 0.012 in T)
Note:
T: Tight





Thrust Washer (50 X 61 X t)

Thrust washer to center differential side clearance
0.15 - 0.35 mm (0.0059 - 0.0138 in)





Front Differential
Bevel gear to pinon backlash
0.13 - 0.18 mm (0.0051 - 0.0071 in)





Washer (38.1 X 50 X t)
Pinion shaft to axle drive shaft clearance
0 - 0.02 mm (0 - 0.008 in)





Snap-ring (outer - 28)

Transfer Drive Gear
Snap ring (outer - 30) to ball bearing clearance
0.01 - 0.15 mm (0.004 - 0.0050 in)





Snap ring (Outer-30)





Transmission Case Tightening torque

Clutch Systems





Clutch System Specifications

Differentials
When replacing rear differential assembly, select the correct one according to the following table.
NOTE:
Using a different rear differential assembly causes the drive line and tires to "drag" or emit abnormal noise when AWD is selected.





Differential General Specifications 2.5L





Differential General Specifications 3.0L





Identifications

Rear Differential Gear Oil
Recommended oil
NOTE:
Each oil manufacturer has its base oil and additives. Thus, do not mix two or more brands.





Rear Differential Gear Oil





Service Data

Adjusting Parts





VA-Type





T-Type Part 1 of 2





T-Type Part 2 of 2

Drive Shaft Systems
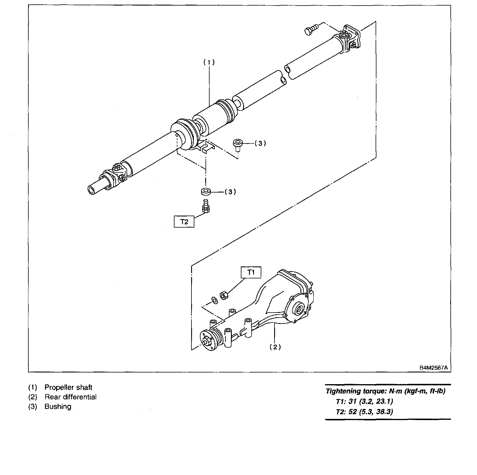
Propeller Shaft





Propeller Shaft type





Propeller Shaft





Type of front drive shaft





Front Drive Shaft





Type of axle shaft assembly





Rear Drive Shaft Assembly





Propeller Shaft





Front Axle





Rear Axle