Starting and Charging: Specifications

Need a step-by-step guide?

Get an AI-powered repair guide with parts lists, cost estimates, and clear instructions for your 1985 Pontiac.

AI Repair Guides


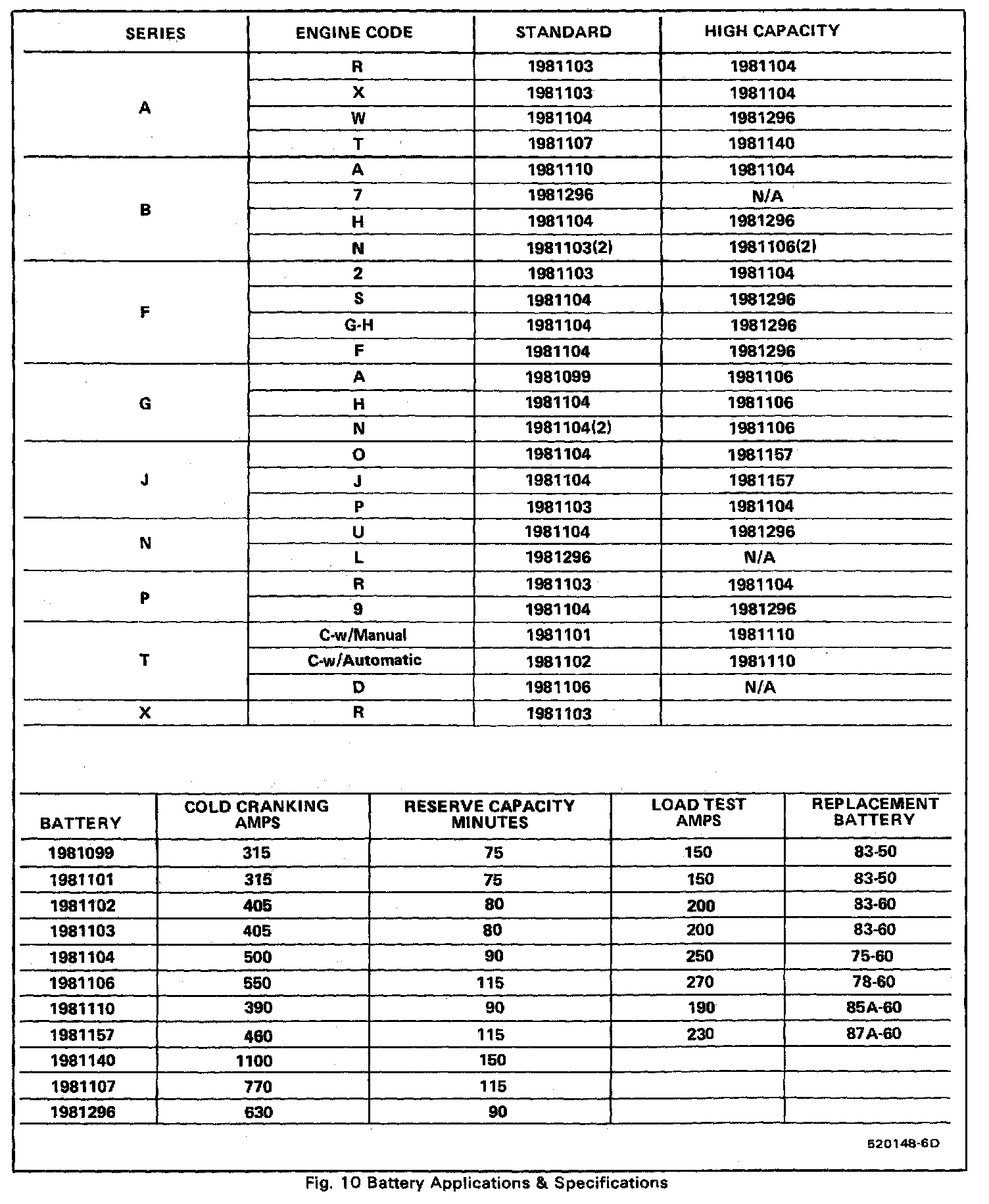
BATTERY SPECIFICATIONS





ALTERNATOR & STARTER SPECIFICATIONS





STARTER TORQUE SPECIFICATIONS