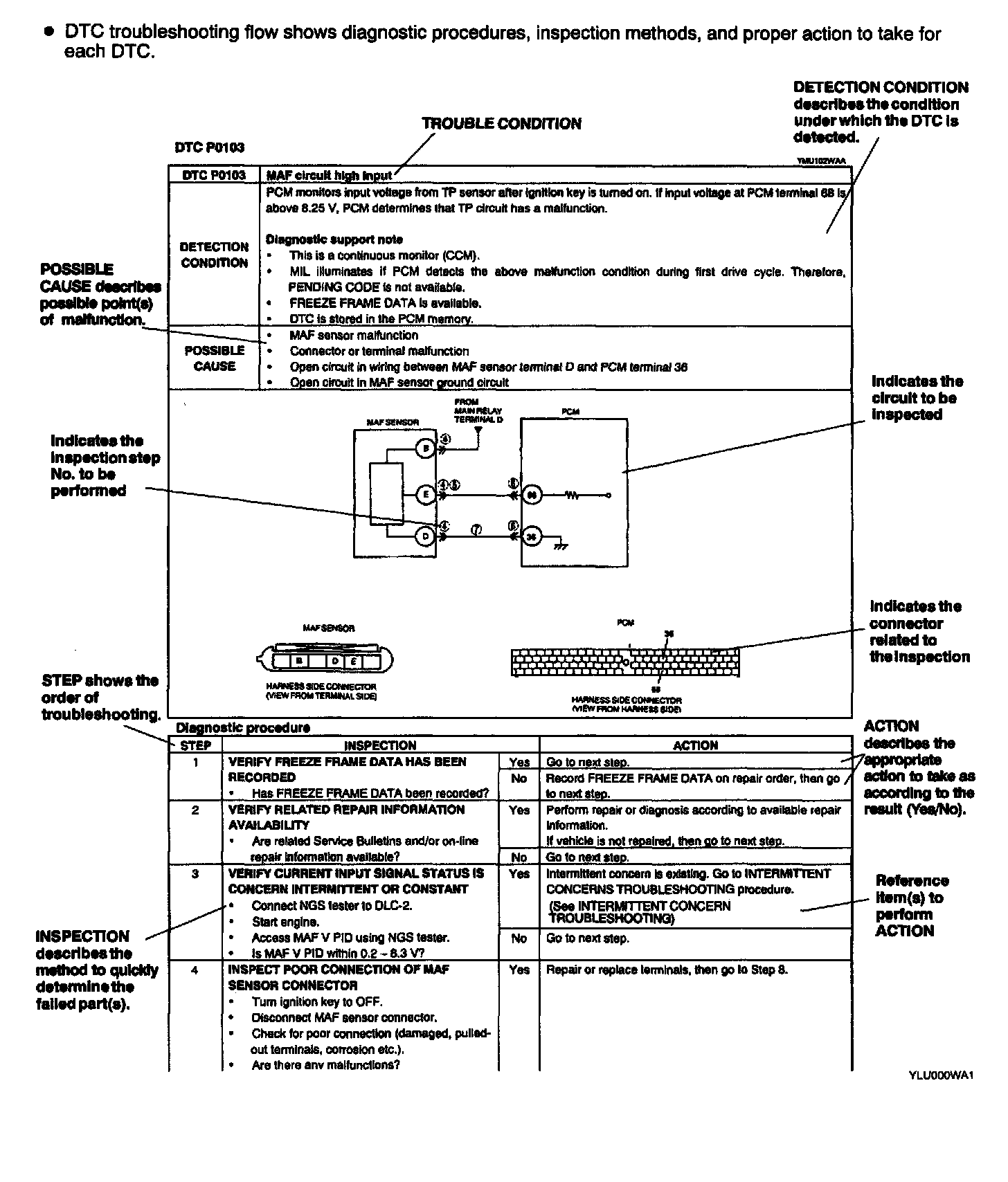
DTC Troubleshooting Flow (on-Board Diagnostic)

Need a step-by-step guide?

Get an AI-powered repair guide with parts lists, cost estimates, and clear instructions for your 2001 Mazda.

AI Repair Guides



Basic flow of troubleshooting

DTC troubleshooting flow (on-board diagnostic)
- Diagnostic trouble codes (DTCs) are important hints for repairing malfunctions that are difficult to simulate. Perform the specific DTC diagnostic inspection to quickly and accurately diagnose the malfunction.
- The on-board diagnostic function is used during inspection. When a DTC is shown specifying the cause of a malfunction, continue the diagnostic inspection according to the items indicated by the on-board diagnostic function.

Diagnostic index
- The diagnostic index lists the symptoms of specific malfunctions. Select the symptoms related or most closely relating to the malfunction.

Quick diagnosis chart (If mentioned)
- The quick diagnosis chart lists diagnosis and inspection procedures to be performed specifically relating to the cause of the malfunction.

Symptom troubleshooting
- Symptom troubleshooting quickly determines the location of the malfunction according to symptom type.

Procedures for Use




Using the DTC troubleshooting flow