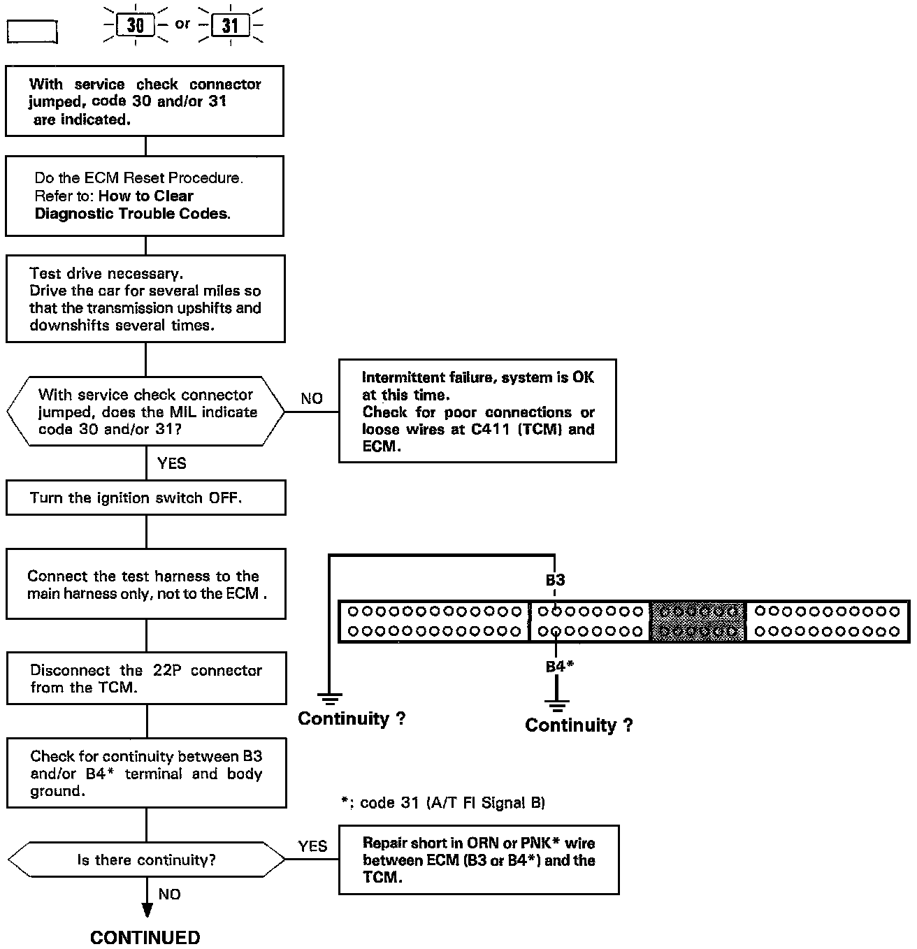
The Malfunction Indicator Lamp (MIL) indicates Diagnostic Trouble Code (DTC) 30 - A problem in the Automatic Transmission (A/T) Fuel Injection (FI) Signal A circuit between Transmission Control Module (TCM) and Engine Control Module (ECM).
Engine Control System
Need a step-by-step guide?
Get an AI-powered repair guide with parts lists, cost estimates, and clear instructions for your 1995 Honda.
The Malfunction Indicator Lamp (MIL) indicates Diagnostic Trouble Code (DTC) 30 - A problem in the Automatic Transmission (A/T) Fuel Injection (FI) Signal A circuit between Transmission Control Module (TCM) and Engine Control Module (ECM).