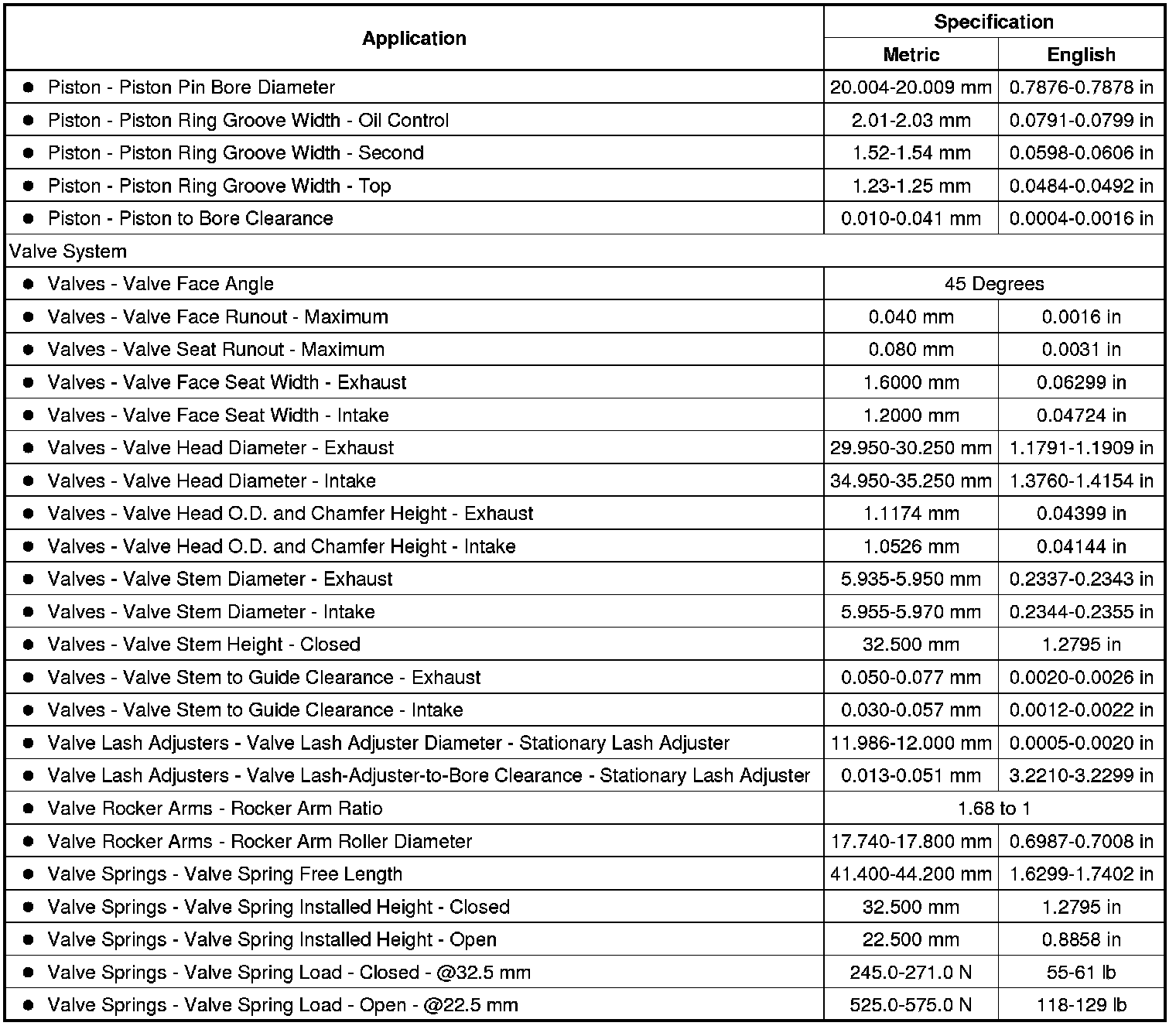
Engine Mechanical Specifications (LAF, LEA, or LUK)
Service Limits & General Specifications
Need a step-by-step guide?
Get an AI-powered repair guide with parts lists, cost estimates, and clear instructions for your 2013 GMC Truck.
Engine Mechanical Specifications (LAF, LEA, or LUK)