Test Z: Intermittent

Need a step-by-step guide?

Get an AI-powered repair guide with parts lists, cost estimates, and clear instructions for your 2007 Ford.

AI Repair Guides
PINPOINT TEST Z: INTERMITTENT


Warning And Table:






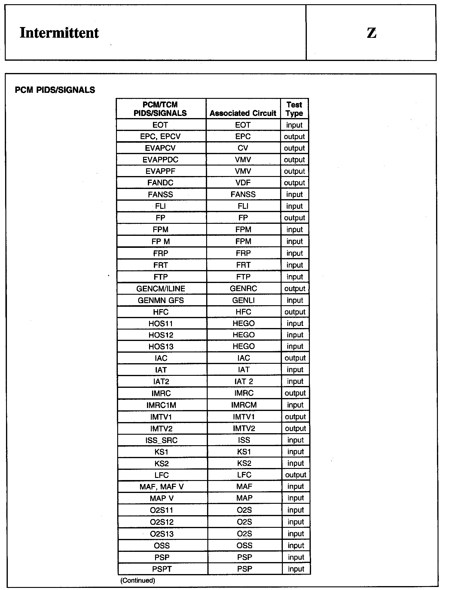
Table:






Z1:






Z2-Z5:






Z6-Z8:






Z9-Z10:






Z11-Z12:






Z13-Z14:






Z15:






Z16:






Z17:






Z18-Z19: