Test Notes

Need a step-by-step guide?

Get an AI-powered repair guide with parts lists, cost estimates, and clear instructions for your 1999 Ford.

AI Repair Guides
This Pinpoint Test is intended to diagnose and isolate intermittent concerns for the following:
- All Electronic EC subsystems.
- Coil Pack ignition systems using the Distributorless Ignition System Tester (DIST).


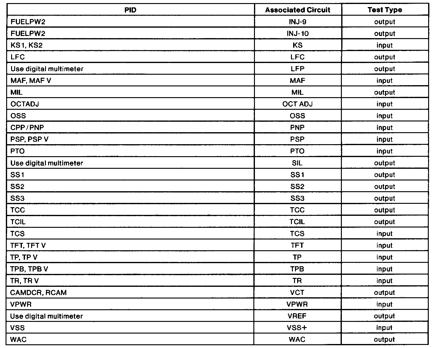
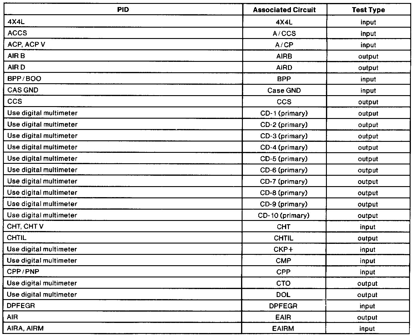
Intermittent Test Chart:






Intermittent Test Chart:






Intermittent Test Chart:






This chart is used to determine which test to run for the suspect circuit. Corresponding PIDs to each circuit are listed. Some circuits do not have an associated PID and will be measured with a digital multimeter. If the vehicle is a coil pack system with no start, perform the ignition test with the distributorless ignition system tester.