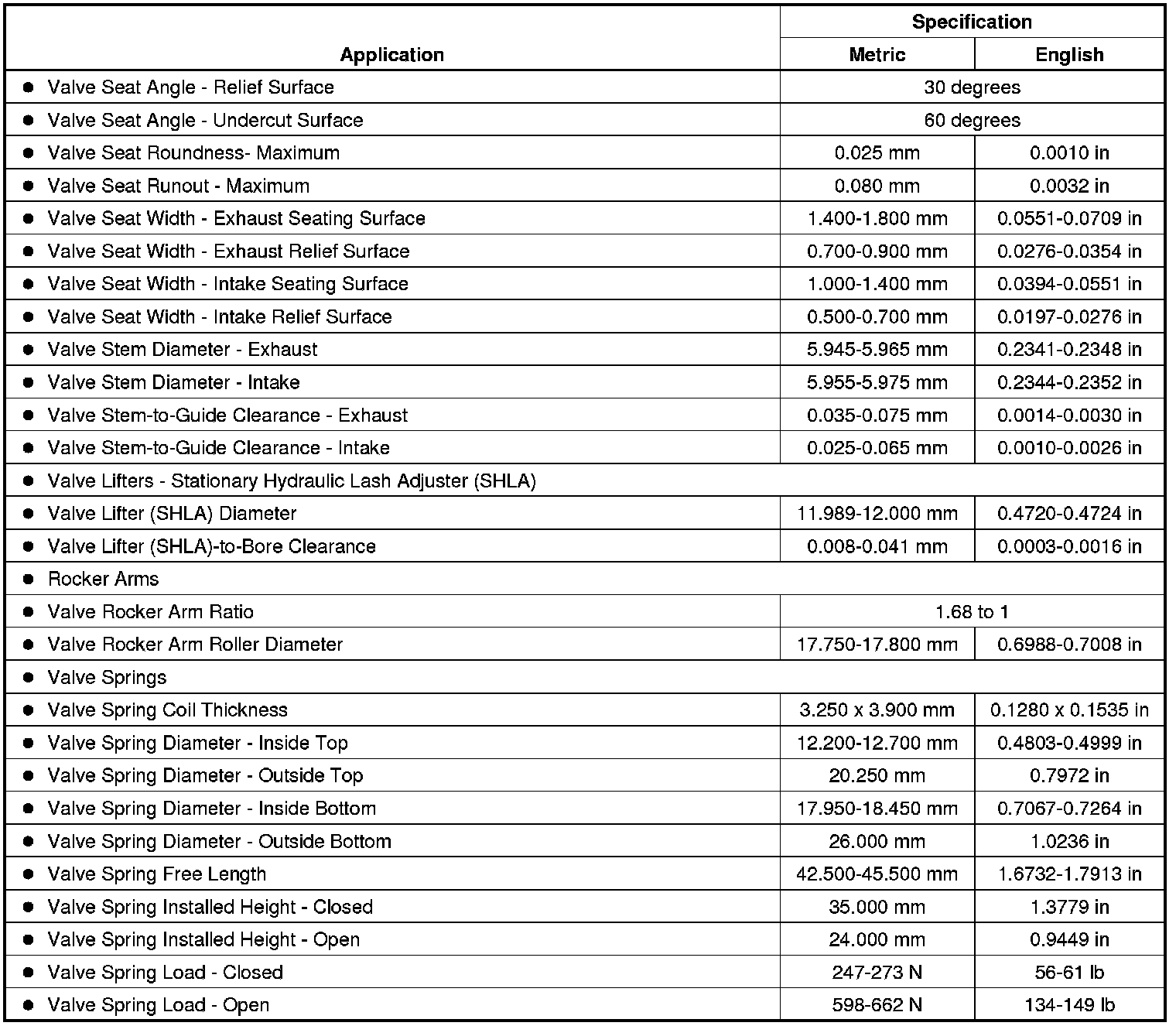
Engine Mechanical Specifications
Service Limits & General Specifications
Need a step-by-step guide?
Get an AI-powered repair guide with parts lists, cost estimates, and clear instructions for your 2013 Chevy Truck.
Engine Mechanical Specifications
Need a step-by-step guide?
Get an AI-powered repair guide with parts lists, cost estimates, and clear instructions for your 2013 Chevy Truck.