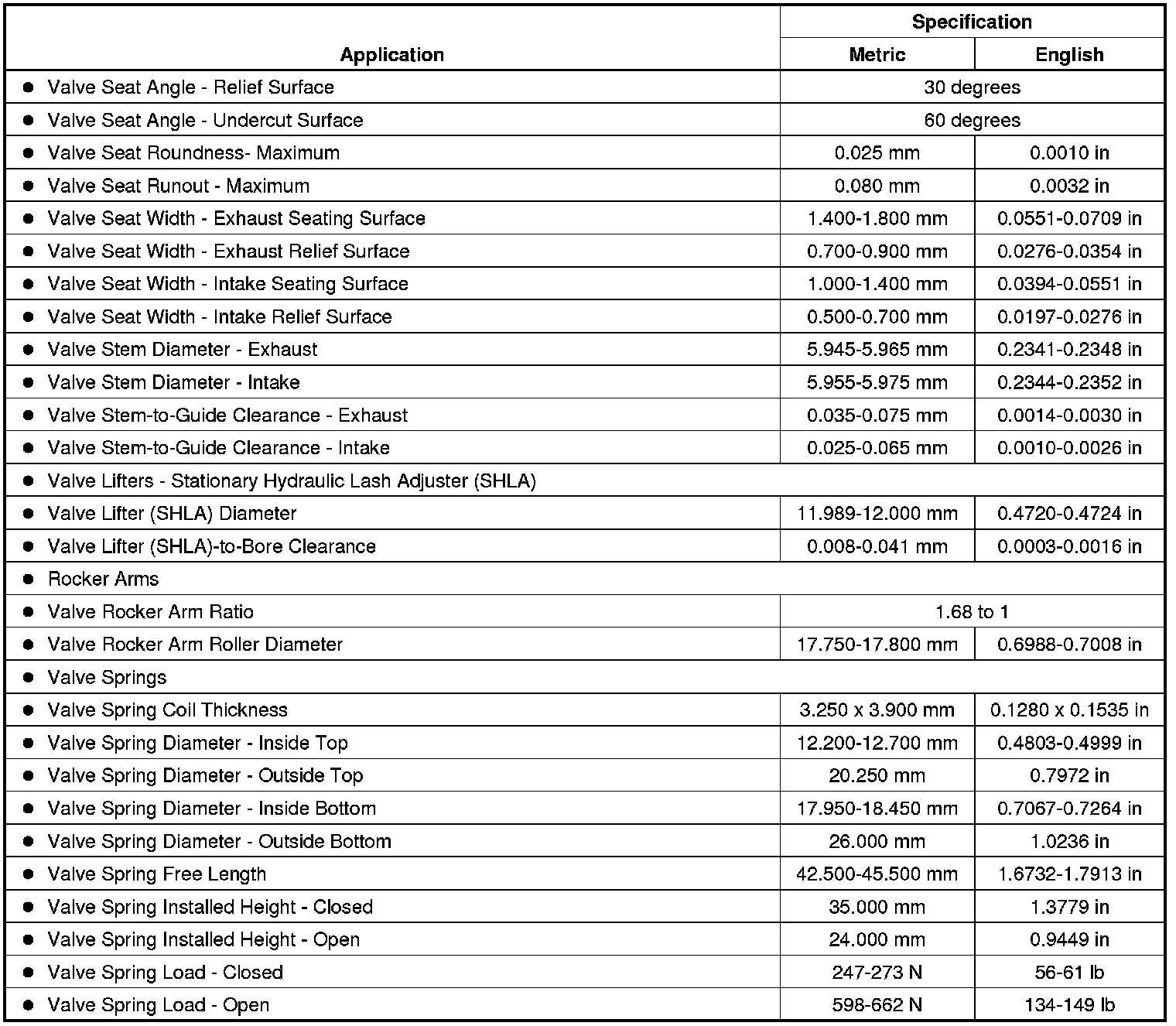
Engine Mechanical Specifications (LLT)
Service Limits & General Specifications
This is the exact OEM manual section for the path above. Use the breadcrumb to move up or down the tree until you reach the precise year, make, model, and subsystem you need.
Need a step-by-step guide?
Get an AI-powered repair guide with parts lists, cost estimates, and clear instructions for your 2012 Chevrolet.
Revenue RailIntent: manual
Use the Manual With the Right Hardware
Pair factory procedures with proven DIY tools so the instructions are easier to execute.
Affiliate disclosure: We may earn a commission at no extra cost to you.
More supporting gear
Torque wrench
Use the factory procedure with the right tightening tool.
Manual-based work becomes much easier when you can torque correctly.
Shop on Amazon βTrim tool set
Useful for clips, covers, and trim pieces called out by the manual.
Most manual procedures assume you have a good trim removal kit.
Shop on Amazon βMultimeter kit
Great for electrical troubleshooting and manual-tested circuits.
Electrical work in manuals often needs a meter more than another wrench.
Shop on Amazon βEngine Mechanical Specifications (LLT)