Design and Clearance Specifications

Need a step-by-step guide?

Get an AI-powered repair guide with parts lists, cost estimates, and clear instructions for your 1995 Chevrolet.

AI Repair Guides
Design and Clearance Specifications

3T40

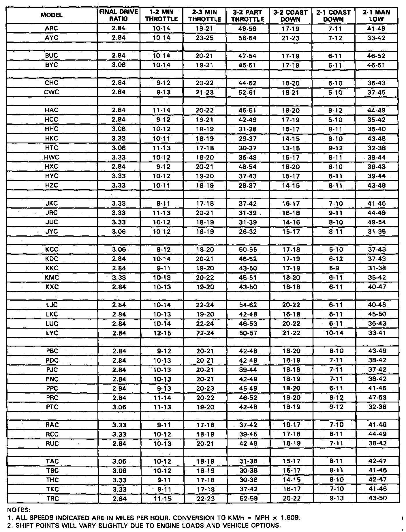
Shift Speed Chart:





Snap Ring Chart:





Lo Race Selective Spacer Chart:





Final Drive End Play Chart:





Forward Clutch Backing Plate Selection Chart: