Powertrain Controls - ECM/PCM

Need a step-by-step guide?

Get an AI-powered repair guide with parts lists, cost estimates, and clear instructions for your 1994 Chevrolet.

AI Repair Guides

DTC 13 - Oxygen Sensor Circuit (Open Circuit):




Oxygen Sensor Wiring Circuit:





Circuit Description:
The Powertrain Control Module (PCM) supplies a voltage of about .45 volt between terminals "PA12" and "PB6". (If measured with a 10 megohm digital voltmeter, this may read as low as .32 volt.) The Oxygen Sensor (O2S) varies the voltage within a range of about 1 volt if the exhaust is rich, down to about .10 volt if exhaust is lean.

The sensor is like an open circuit and produces no voltage when it is below 315°C (600°F). An open sensor circuit or cold sensor causes an "Open Loop" operation.

DTC 13 Will Set When:
^ Engine running at least 40 seconds.
^ Coolant temperature at least 42.5°C (108°F).
^ DTC 21 or 22 is not set.
^ O2S signal voltage is steady between approximately .35 and .55 volt.
^ The Throttle Position (TP) sensor signal is above 6% for more time than TP sensor was below 6%. (About .3 volt above closed throttle voltage.)
^ All conditions are met for at least 20 seconds.

Action Taken (PCM will default to): The Malfunction Indicator Lamp (MIL) will illuminate, the O2S system will go into "Open Loop," and the cooling fan will enable.

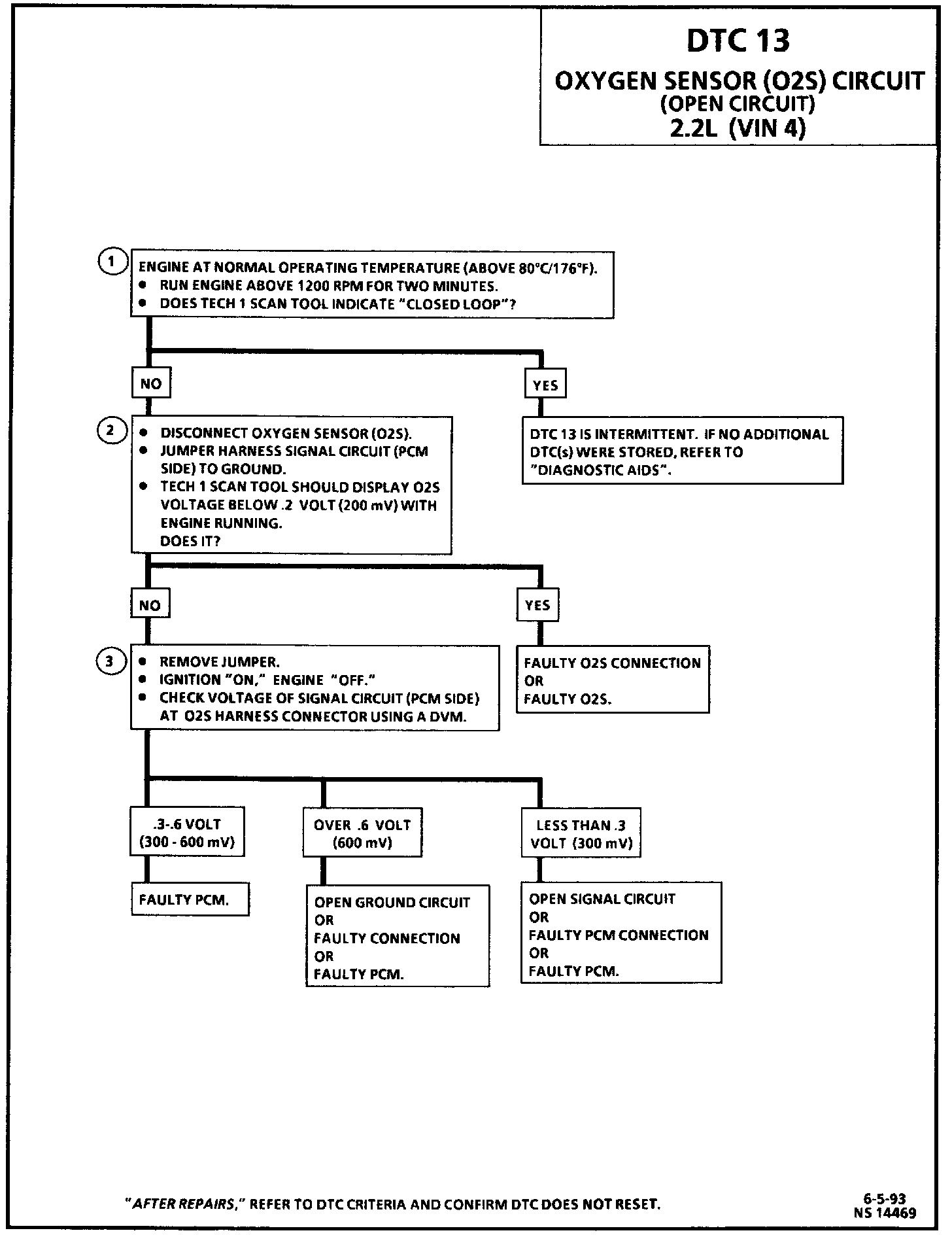
DTC Chart Test Description: Number(s) below refer to circled number(s) on the diagnostic chart.

1. During engine warm up, the O2S should warm up and its voltage should vary between 100 mV to 999 mV. When O2S voltage varies the engine will go into "Closed Loop." This step determines if the O2S is operating properly.
2. This will determine if the sensor, wiring, or PCM is the cause of the DTC 13.
3. Use only a high impedance digital volt ohmmeter for this test. This test checks the continuity of CKT 412 and CKT 413; because if CKT 413 is open, the PCM voltage on CKT 412 will be over .6 volt (600 mV).

Diagnostic Aids: Normal Tech 1 scan tool voltage varies between 100 mV to 999 mV (.1 volt to 1.0 volt) while in "Closed Loop." DTC 13 sets in 20 seconds if voltage remains between .35 volt and .55 volt, but the system will go "Open Loop" in about 15 seconds. Refer to "Intermittents," in "Diagnosis By Symptom," - Intermittent Malfunctions