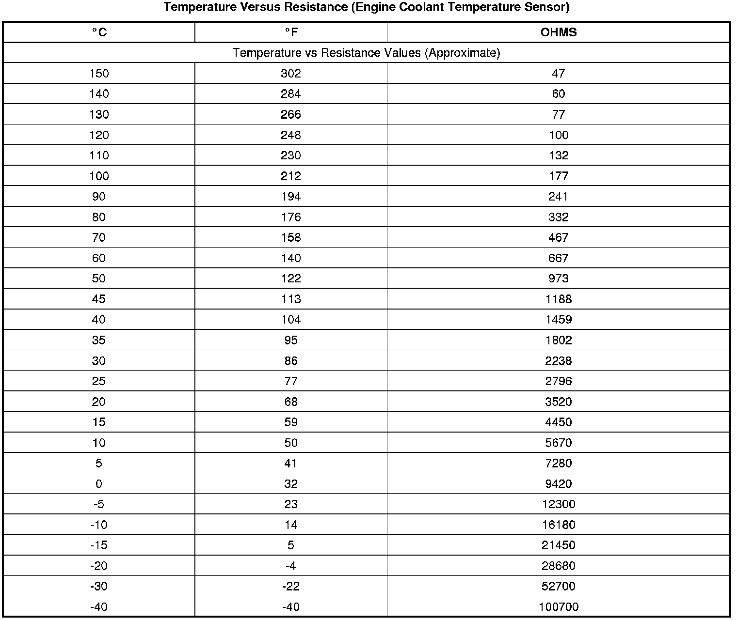
Temperature Versus Resistance (Engine Coolant Temperature Sensor)
Temperature Versus Resistance - Engine Coolant Temperature Sensor
Need a step-by-step guide?
Get an AI-powered repair guide with parts lists, cost estimates, and clear instructions for your 2013 Cadillac.
Temperature Versus Resistance (Engine Coolant Temperature Sensor)