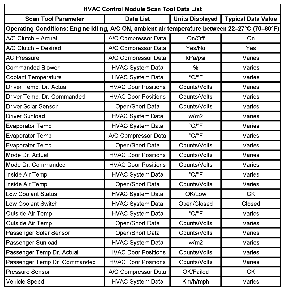
Scan Tool Data List

Need a step-by-step guide?

Get an AI-powered repair guide with parts lists, cost estimates, and clear instructions for your 2006 Buick.

AI Repair Guides

HVAC Control Module Scan Tool Data List:



ECM Scan Tool Data List: