Diagnostic Trouble Code (DTC) List - Vehicle

Need a step-by-step guide?

Get an AI-powered repair guide with parts lists, cost estimates, and clear instructions for your 2006 Buick.

AI Repair Guides


DIAGNOSTIC TROUBLE CODE (DTC) LIST - VEHICLE

DTCs B0005 - B0188:




DTCs B0248 - B0961:




DTCs B0968 - B1544:




DTCs B1580 - B2435:




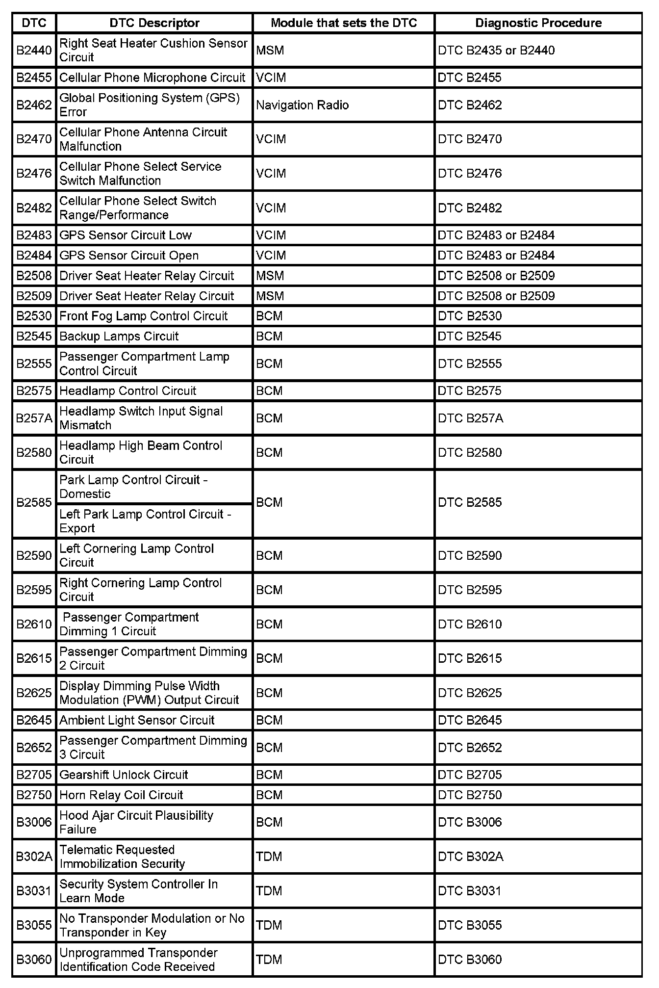
DTCs B2440 - B3060:




DTCs B3105 - C0179:




DTCs C0186 - C0900:




DTCs P0016 - P0101:




DTCs P0102 - P0117:




DTCs P0118 - P0134:




DTCs P0135 - P0171:




DTCs P0172 - P0207:




DTCs P0208 - P0326:




DTCs P0327 - P0358:




DTCs P0385 - P0446:




DTCs P0449 - P0503:




DTCs P0506 - P0575:




DTCs P0601 - P0608:




DTCs P060D - P0711:




DTCs P0712 - P0756:




DTCs P0757 - P1258:




DTCs P1350 - P1822:




DTCs P1823 - P2127:




DTCs P2128 - P2764:




DTCs P2A00 - U0194:




DTCs U0198 - U2099:




This master DTC list includes all applicable DTCs in alphanumeric order with descriptors.