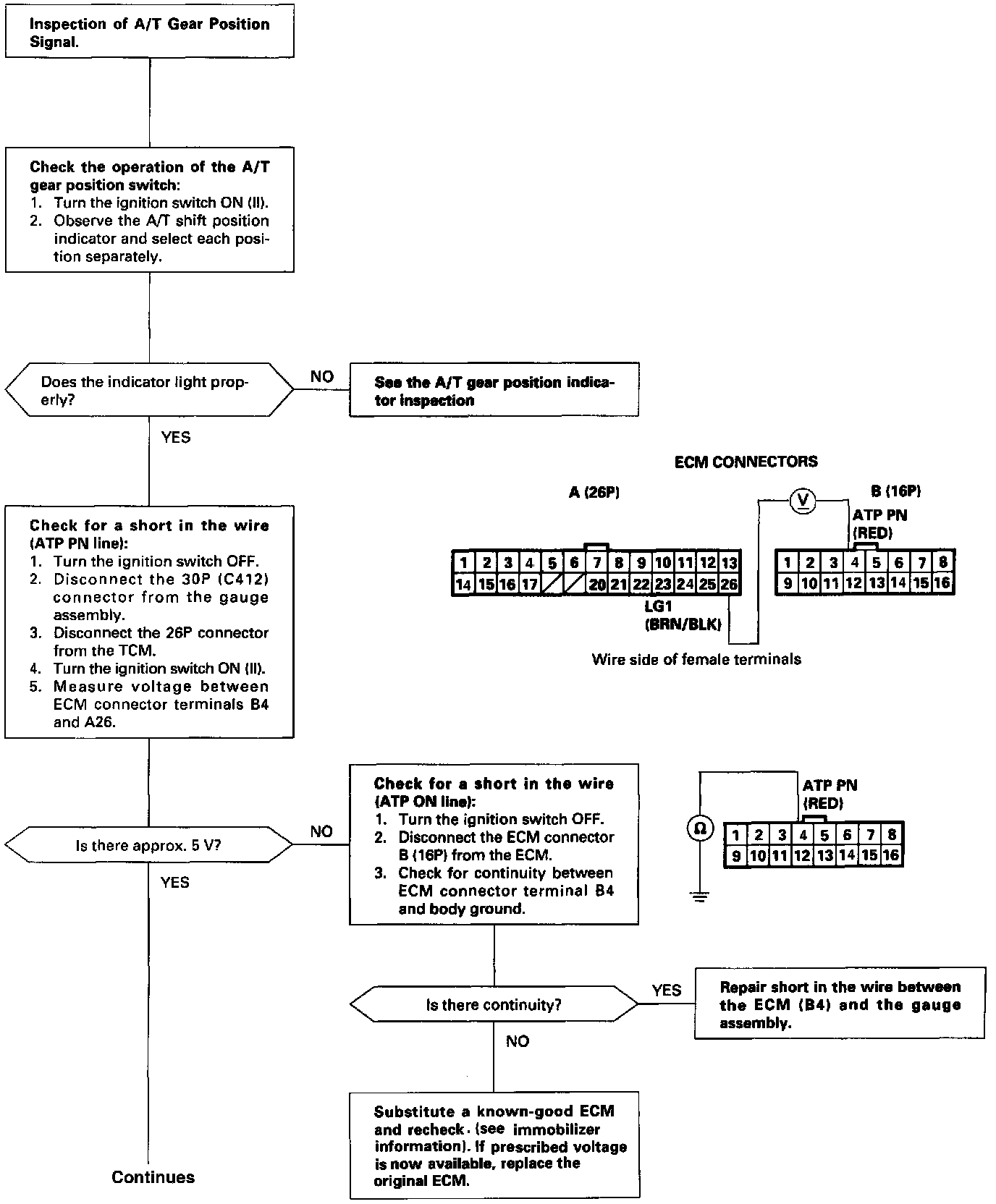
This signals the ECM when the transmission is in [N] or [P] position.
Automatic Transaxle (A/T) Gear Position Signal
Need a step-by-step guide?
Get an AI-powered repair guide with parts lists, cost estimates, and clear instructions for your 1999 Acura.
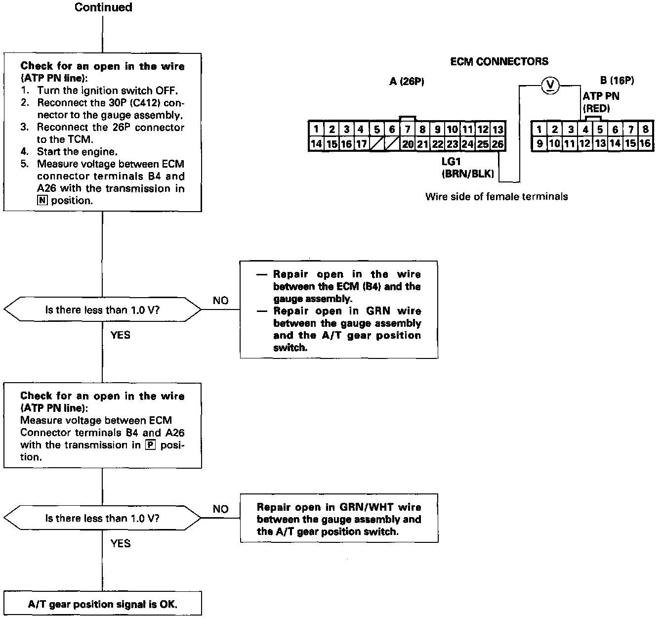
This signals the ECM when the transmission is in [N] or [P] position.