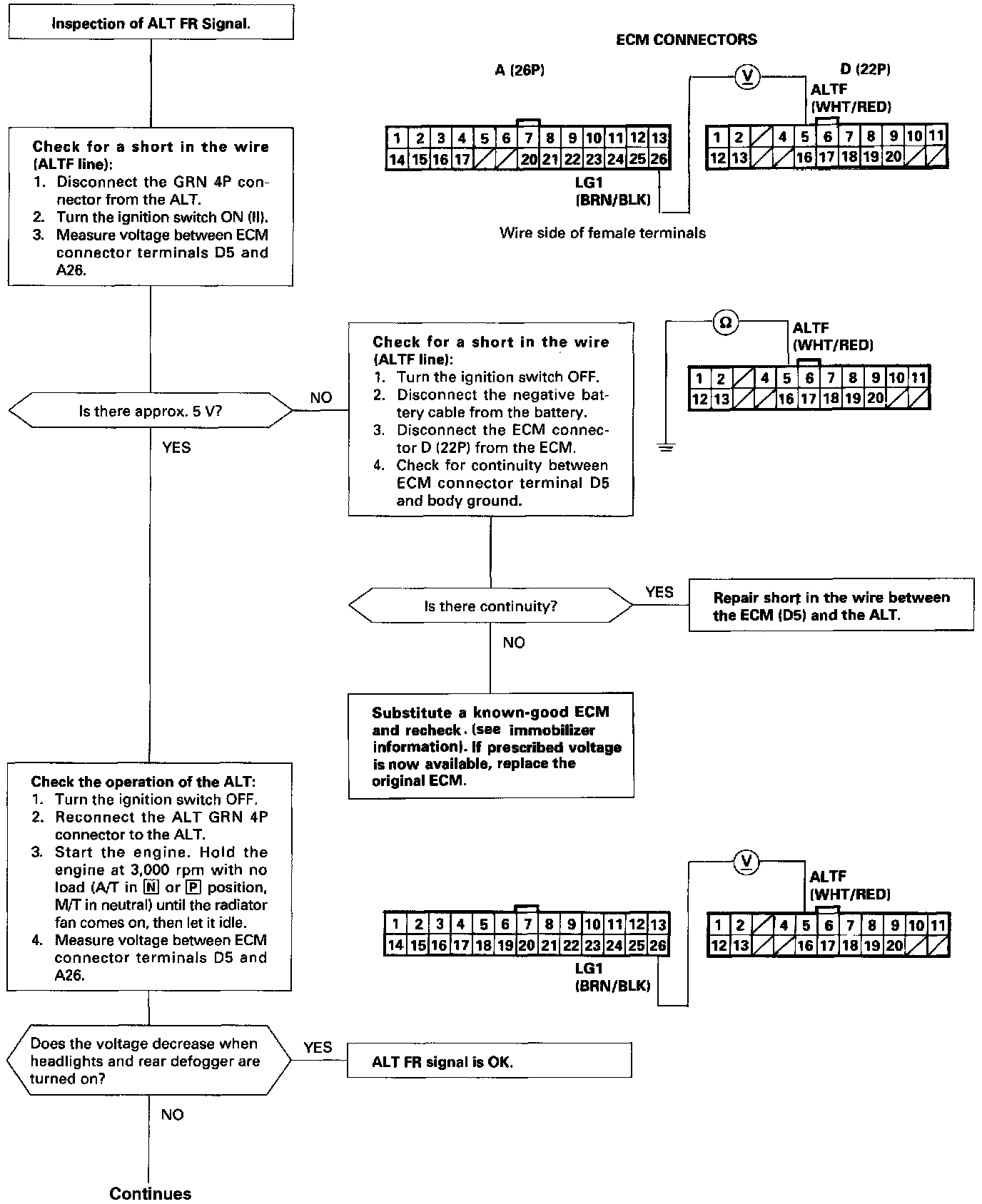
This signals the ECM when the Alternator (ALT) is charging.
Alternator FR Signal Circuit Troubleshooting
Need a step-by-step guide?
Get an AI-powered repair guide with parts lists, cost estimates, and clear instructions for your 1999 Acura.
This signals the ECM when the Alternator (ALT) is charging.